O que é o FishMet
O professor Ivar Rønnestad e o pesquisador Sergei Budaev, ambos do Departamento de Ciências Biológicas da Universidade de Bergen, estão desenvolvendo o FishMet, um gêmeo digital que simula processos biológicos como apetite, digestão, metabolismo e crescimento em peixes. O sistema busca otimizar a alimentação em fazendas de salmão e truta, reduzindo desperdícios e melhorando o bem-estar animal.

O que é um gêmeo digital
Um gêmeo digital é uma representação virtual de um sistema físico ou biológico que permite testar cenários de forma segura e controlada. No caso do FishMet, trata-se de um “peixe virtual” capaz de reproduzir o comportamento alimentar e fisiológico dos salmonídeos em diferentes condições ambientais e de manejo. Essa abordagem facilita previsões e decisões de manejo sem necessidade de longos e caros experimentos em campo

Como funciona o modelo
Diferente de métodos de inteligência artificial considerados “caixa-preta,” o FishMet é baseado em fisiologia e transparência. O modelo integra dados biológicos e ambientais, como tamanho do peixe, tipo de ração, temperatura da água e oxigênio, para prever ingestão alimentar, eficiência de conversão, crescimento e até indicadores de estresse.

Origem e colaboração
O projeto nasceu da parceria entre pesquisadores da UiB e a Vestlandets Innovasjonsselskap (VIS). Atualmente em fase inicial, o conceito está disponível para exploração em licenciamento. Segundo os desenvolvedores, a ferramenta poderá futuramente ser expandida para outras espécies e fases do ciclo de vida, como a smoltificação.
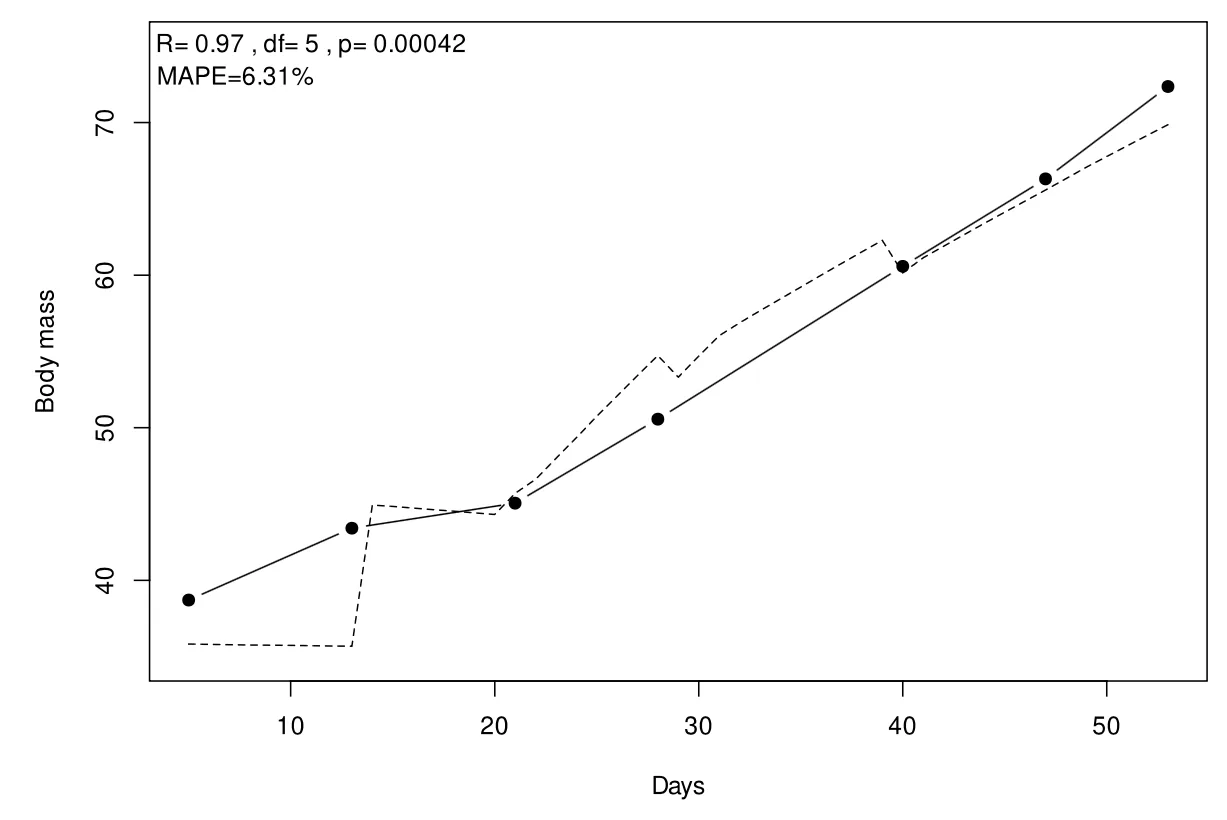
Resultados iniciais
Ensaios-piloto já demonstraram resultados promissores. O FishMet conseguiu prever com precisão o tempo de trânsito intestinal em truta arco-íris (Oncorhynchus mykiss) e o desempenho de crescimento em salmão-do-atlântico (Salmo salar).

Futuro da aquicultura de precisão
Embora ainda em estágio de prova de conceito e com baixo nível de maturidade tecnológica, os criadores acreditam que a plataforma pode se tornar um suporte decisivo para decisões na aquicultura. “O que queremos criar é um salmão digital transparente que combine inteligência artificial com décadas de conhecimento biológico, servindo tanto como ferramenta de pesquisa quanto como preditor prático para a aquicultura,” afirmou Budaev.
